Document Description

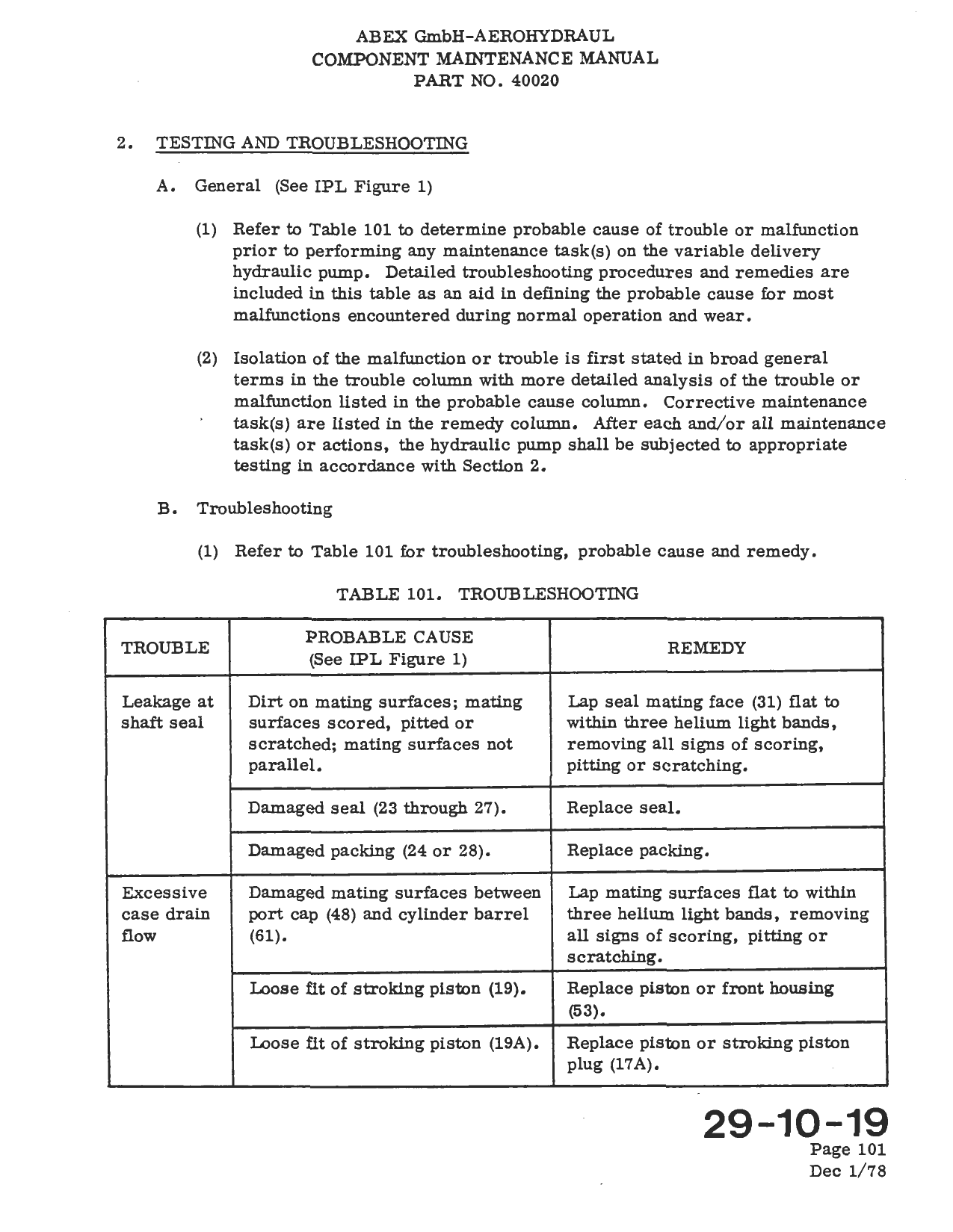
Maintenance Manual with Illustrated Parts List for Variable Delivery Hydraulic Pump - Model AP05VC-032 and AP05VC-032-01, No. 29-10-19, 1-Dec-1978

Document Part Number

No. 29-10-19

Document Revision Date

1-Dec-1978

Already a Member?

Sign in to read this full document


Become a member

To access this and thousands of other manuals, plus over 400,000 warbird engineering drawings!

JOIN NOW


Don't want to join?

No problem - Click below to purchase a digital download of this manual from our storefront!

PURCHASE NOW

Sample Page: 1 of 4